
甲基铵铅溴(CH3NH3PbBr3)作为一种明星钙钛矿材料,在太阳能电池、发光二极管和γ射线探测器中展现出巨大潜力。其优异的光电性能源于可调的带隙和高效的电荷传输特性,但材料内部的微观缺陷——如原子空位或杂质——会显著降低器件效率。这些缺陷如同“隐形陷阱”,阻碍电荷流动并引发能量损失。尽管缺陷控制至关重要,其化学本质和浓度的精确检测始终是科研难点。
过去研究中,正电子湮没寿命谱学(PALS)被用于探测材料缺陷。正电子作为电子的反物质,在材料中“游荡”时会被缺陷捕获并湮灭,湮灭时间的长短直接反映缺陷的尺寸和电子密度。然而,不同团队对同一材料的测量结果差异巨大:有研究称晶体几乎无缺陷,也有报告指出铅空位浓度高达10¹⁶ cm⁻³。这些矛盾源于样品制备方法不同,以及传统实验对表面缺陷干扰的敏感性。

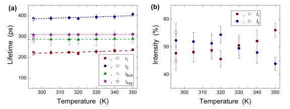
本研究通过反溶剂气相辅助法制备出毫米级立方单晶,大幅减少表面缺陷干扰。团队首次在真空和变温条件下(295–350 K)进行PALS实验,结合双组分密度泛函理论(DFT)计算,揭示了铅空位的微观动态。(插入图片:正电子在铅空位处的密度分布模拟) 实验发现两个寿命分量:短寿命分量(217±8 ps)对应受缺陷影响的“缩减体态”,长寿命分量(382±8 ps)直接指向铅空位缺陷。温度升高导致湮灭时间延长,印证了缺陷带负电的特性。计算进一步表明,铅空位的湮灭寿命随局部化学环境变化(353–388 ps),而最稳定的空位构型与实验结果高度吻合。
为何铅空位成为“关键先生”?

通过第一性原理计算,团队模拟了多种缺陷(如溴空位、甲基铵空位)的湮灭响应,发现铅空位的形成能最低(0.54 eV),室温平衡浓度达5.1×10¹² cm⁻³,与实验测量的缺陷密度(1.2×10¹⁶ cm⁻³)趋势一致。铅空位周围的溴八面体结构形成“电子低密度区”,导致正电子局域化并延长湮灭时间。这一发现解释了不同生长方法(如反溶剂法与逆温结晶法)对缺陷类型的影响:剧烈结晶过程可能诱发更多小尺寸空位。
从实验室到产业化的桥梁
该研究为钙钛矿材料的缺陷工程提供了直接指导。例如,可通过调节前驱体比例或优化结晶条件抑制铅空位生成。此外,正电子湮没技术的高灵敏度使其成为材料质量监控的有力工具,尤其在薄膜器件和辐射探测器开发中潜力显著。 这项突破不仅解决了长期争议的缺陷识别难题,更为下一代高性能光电器件的设计与优化提供了微观尺度上的“导航图”。