未来清洁能源之星——核聚变反应堆的核心部件“偏滤器”,长期面临极端环境挑战:钨(W)装甲需承受1200°C高温,而铜合金(CuCrZr)冷却系统仅能在350°C以下工作。西班牙卡洛斯三世大学团队设计出新型铁铬钒铜基高熵合金(HEAs),通过添加钛(Ti)、钽(Ta)、钨(W)、钼(Mo)等“超大原子”,试图解决两者间的巨大温度梯度与热膨胀失配问题。这类材料需兼具抗中子辐照损伤、耐高温循环和微观结构稳定性。
看不见的微观缺陷威胁
材料在制造和辐照中产生的原子级缺陷(如空位、空洞)会引发“肿胀效应”,导致部件变形失效。传统检测手段难以实时追踪高温下纳米级缺陷的演化规律,尤其对多组分高熵合金的复杂缺陷行为束手无策。如何精准捕捉材料内部缺陷动态,成为核聚变材料研发的关键瓶颈。
正电子探针解码缺陷演化
研究团队采用正电子湮没谱学技术这一“原子级显微镜”,对四种合金(Cu₅Cr₃₅Fe₃₅V₂₀X₅,X=Ti/Ta/W/Mo)展开原位监测:
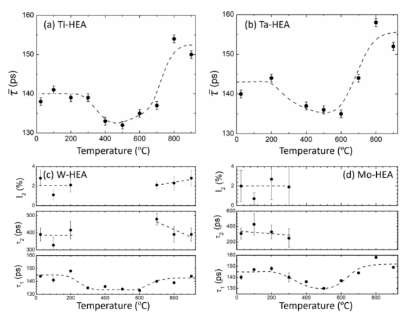
1. 正电子湮没寿命测量(PALS)

获得关键数据:含钨/钼合金在铸态下存在300-480皮秒的长寿命缺陷(空位团簇),而钛/钽合金仅检测到133-158皮秒的短寿命单空位。
揭示规律:钛/钽原子显著抑制空位团簇形成,使缺陷尺寸缩小40%以上。
2. 符合多普勒展宽谱(CDB)

获得关键数据:400-600°C退火时,所有合金的伽马射线能量分布曲线向纯铜特征偏移。
揭示机制:铜原子在空位协助下迁移析出,形成纳米颗粒,经700°C处理后的铜颗粒直径增至110纳米。
三阶段缺陷动态全捕获
通过等时退火实验(室温至900°C),正电子技术首次清晰捕获高熵合金缺陷演化的三个阶段:

钛/钽原子通过提升空位-间隙原子复合率,将空洞生长抑制率提高至钨/钼合金的3倍以上。 核聚变材料的革命性突破 1. 抗辐照装甲:含钛/钽合金的空洞抑制能力,可延长偏滤器热障层寿命10倍以上; 2. 低活化设计:铬/铁/钒元素组合满足核废料低放射性要求; 3. 跨温区适配:材料在200-900°C全程保持结构稳定。 研究为开发新一代抗肿胀核聚变材料提供理论基石,已被纳入欧盟DEMO示范堆候选材料库。